关于我校学生职业技能认定考试成绩公示
发布时间:2025-11-17 10:59:13 作者:重庆市机电工程高级技工学校
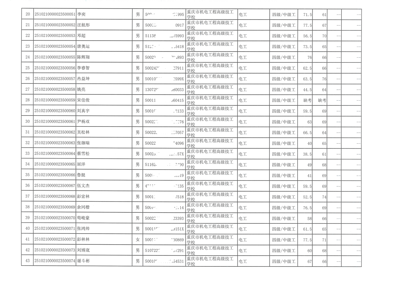
重庆市机电工程高级技工学校 职业技能等级认定考试 我校根据重庆市技能鉴定指导中心的相关文件和工作要求,结合技工院校评价工作实际,于2025年11月03日进行了职业技能等级认定考试。认定工种:电工,等级:四级/中级工,报名46人,合格人数31人,缺考2人。经过考评人员认真评价及汇总成绩后,现对所有考生成绩公示如下: 该成绩公示七个工作日于2025年11月17日—2025年11月25日,如对考试成绩有异议,请联系唐明英,联系电话:13896050859。 重庆市机电工程高级技工学校 培训鉴定科 2025年11月17日 








渝公网安备 50010802003232号